100% LOCALLY DEVELOPED NO-CODE SOLUTIONS FOR WORKFLOW AUTOMATION AND BUSINESS PROCESS MANAGEMENT (BPM) FOR THE PUBLIC SECTOR OF SRI LANKA

Exploration 100% LOCALLY DEVELOPED NO-CODE SOLUTIONS FOR WORKFLOW AUTOMATION AND BUSINESS PROCESS MANAGEMENT (BPM) FOR THE PUBLIC SECTOR OF SRI LANKA: Download
LANKA GOVERNMENT NETWORK 3 (LGN 3) – SECURE ACCESS FABRIC ALIGNED WITH THE SOVEREIGN GOVERNMENT CLOUD

LANKA GOVERNMENT NETWORK 3 (LGN 3) – SECURE ACCESS FABRIC ALIGNED WITH THE SOVEREIGN GOVERNMENT CLOUD
REQUEST FOR INFORMATION (Public Notice): Download
REQUEST FOR INFORMATION (Document): Download
Procurement of five million of preprinted polycarbonate cards for the issuance of national identity card
- Bidding Document (Addendum 03) : Download
Procurement of five million of preprinted polycarbonate cards for the issuance of national identity card
- Bidding Document (Addendum 02) : Download
- Responses to clarifications raised by Bidders - 2 : Download
Procurement of 05 million preprinted polycarbonate cards for the issuance of National Identity Card

DEVELOPMENT OF DATA CENTRE AND CLOUD INFRASTRUCTURE IN SRI LANKA
The Government of Sri Lanka, through the Board of Investment (BOI) and the Ministry of Digital Economy (MoDE), is undertaking a national initiative to establish sovereign, scalable data centre and cloud infrastructure to support high-performance computing, AI workloads, and national digital services.
Data-Center-Advertiestment : Download
Data-Center-RFI-Form : Download
More Details: https://investsrilanka.com/development-of-data-centre-and-cloud-infrastructure-in-sri-lanka/
Extension of Bid Submission

More Details: https://drp.gov.lk/en/procument%20orgin.php
Extension of Bid Submission

Extension Notice

Procurement of Fifteen Million of Preprinted Polycarbonate Cards for the Issuance of National Identity Card

The Bid opening which was scheduled to be held on 3rd November 2025 has been extended up to 24th November.
REQUEST FOR EXPRESSION OF INTEREST
(October 21, 2025)
Employment of a Consultancy Firm for the Design, Development and Maintenance of a Citizen-Centric Government Super App with Service Modules.
- Procurement Notice : Download
- Expression of Interest (EOI) Information Form : Download
- Terms of Reference (ToR) : Download

Deadline Extended till 12th November
REQUEST FOR EXPRESSION OF INTEREST
(October 07, 2025)
Employment of a Consultancy Firm to Design and Development of a Citizen-Centric Government Super App Branding & User Experience.
- EOI - Procurement Notice Supper App : Download
- TOR - ToR SuperApp Branding & User Experience : Download
- EOI Information Form : Download

Procurement Notices

More Details: https://drp.gov.lk/en/procument%20orgin.php
Extension Notice

Deadline closed...!
REQUEST FOR EXPRESSION OF INTEREST
(August 22, 2025)
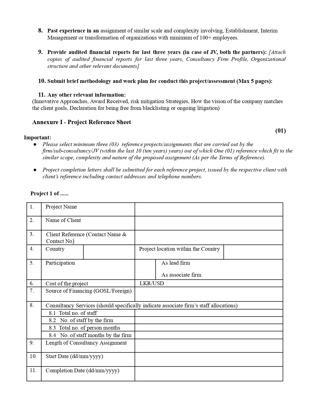
Engagement of a Management Consultancy Firm for the establishment of GovTech Sri Lanka (Pvt) Ltd.
EOI - Procurement Notice GovTech : Download

TOR - Hiring a Consultant for Gov Tech : Download





EOI Information Form GovTechSL : Download




Procurement (Extension Notice).

Deadline closed...!
Procurement of a Service Provider for the Cloud Transformation of the Existing Lanka Government Cloud (LGC) and Provision of Cloud Infrastructure as a Service (IaaS).
- The Bidding Document (Amendment-for-IFB) : Download
- The Bidding Document (Invitation-for-Bids) : Download
- The Bidding Document (Procurement of a Service Provider for the Cloud Transformation of the Existing Lanka Government Cloud (LGC)) : Download
Deadline closed...!